CSP-J/S初赛域 CSP-J模拟卷(三)

选择部分

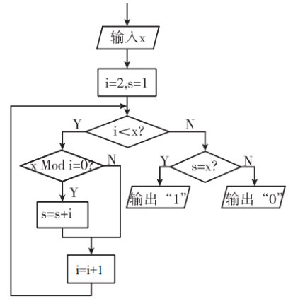
3 某算法的部分流程图如下图所示。执行这部分流程,若依次输入x的值为6,10,15,20,28,则输出结果分别为(C)?

A.0,1,0,1,0

B.1,0,1,0,1

C.1,0,0,0,1

D.0,0,1,0,1

将6,10,15,20,28分别带入流程图算即可

4 以下能用作C++变量名(B)

A.3student (数字不能作为变量开头)

B.hospital (正确)

C.true (关键字不能作为变量)

D.bmp#3 (#不能放入变量)

5 机房里某台计算机无法访问互联网,检查发现,是TCP/IP属性设置有错误,如下图。修正方法是(D)

A.参数3改为255,255,255,0,其它不变

B.参数2改为192,168,10,1,其它不变

C.参数1与参数3交换

D.参数1与参数2交换

6 若网络带宽为100M bit/s,相当于网速为(10010241024/8 Byte/s)

原因:1Byte=8bit

1Kbps = 1024bps = 128 Bps

1Mbps = 1024Kbps = 128 KBps

1Gbps = 1024Mbps = 128 MBps

7 与单链表相比,双链表的优点之一是(访问前后节点更灵活)

数学常识

13 将4名北京冬奥会志愿者分配到短道速滑、冰球和冰壶3个项目进行培训,每名志愿者只分配到1个项目,每个项目至少分配1名志愿者,则不同的分配方案共有(36)种

根据题目可得知,必有一人在多出,这个人选有4种情况,他有3种选择去哪个项目,其他人选择总情况共3种(2+1),所以结果=3x3x4=36

程序阅读部分

(1)

1.#include <bits/stdc++.h>
2.using namespace std;
3.const int mod = 1024;
4.int fastmi(int a, int b) {
5.int res = 1;
6.while (b) {
7.if (b%2==1) res = (res*a)%mod;
8.  a = (a*a)%mod;
9.  b = b / 2;
10.}
11. return res % mod;
12.}
13.int main() {
14. int a, b;
15. cin >> a >> b;
16. cout << fastmi(a, b);
17. return 0;
18.}

1.将第8行中的括号去掉,程序运行结果不变(T)

第8行代码为a=(a*a)%mod; 因为乘法与取余优先级相等所以去掉()程序运行结果不变

2.将第7行”b%2==1”改为”b&1”,程序运行结果可能改变(F)

b%2==1是判断奇数的,b&1也是判断奇数的,所以程序运行结果不会改变

3.将第9行改为”b >>=2”程序运行结果不变(F)

b>>是将b2进制右移2位相当于b/4向下取整,与b/2不一样,所以程序运行结果会改变

4.将第11行”res%mod”改为”res”程序运行结果不变(T)

因为在第7行的唯一的一行res赋值程序中res已经%mod过了,mod的值也一直保持1024,所以将第11行”res%mod”改为”res”程序运行结果不变

5.当输入是”2 5”时输出为(32)

代入模拟

6.当输入是”10 10”是输出为(0)

代入模拟

(2)

1.#include <bits/stdc++.h>
2.using namespace std;
3.const int maxn = 20;
4.int a[maxn];
5.bool vis[maxn];
6.int n;
7.void dfs(int cur) {
8. if (cur == n) {  
9.  for (int i = 0; i < n; ++i)  cout << a[i] << " ";
10.  cout << endl;
11.  return; 
12. } 
13. for (int i = 1; i <= n; i++) {  
14.  if (!vis[i]) { 
15.   a[cur] = i; 
16.   vis[i] = true;  
17.   dfs(cur+1); 
18.   vis[i] = false; 
19.  }
20. }
21.}
22.int main() {
23. cin >> n;
24. dfs(0);
25. return 0;
26.}

1.删除第11行,程序结果不变。(T)

2.程序运行结束时,vis数组里所有值都为false。(T)

在第18行所有变成true的vis都会再变成false

3.将第8行”cur == n”改为”cur >= n”程序运行结果不变。(T)

不变因为cur变量每次只+1,(dfs(cur+1);)所以cur不会>n,>=的>没用也就是==

4.当输入n为负数时,程序会运行错误。(F)

n为负数时循环无法进行但是不会运行错误、

程序输入4时,输出的最后一行为(4 3 2 1)

代入模拟

(3)

1.#include <bits/stdc++.h>
2.using namespace std;
3.const int N = 1e5 + 10;
4.int n;
5.int arr[N], reg[N];
6.void sort(int start, int end) {
7.    if (start >= end)
8.        return;
9.    int len = end - start, mid = (len >> 1) + start;
10.   int start1 = start, end1 = mid;
11.   int start2 = mid + 1, end2 = end;
12.   sort(start1, end1);
13.   sort(start2, end2);
14.   int k = start;
15.   while (start1 <= end1 && start2 <= end2)
16.       reg[k++] = arr[start1] < arr[start2] ? arr[start1++] : arr[start2++];
17.   while (start1 <= end1)
18.       reg[k++] = arr[start1++];
19.   while (start2 <= end2)
20.       reg[k++] = arr[start2++];
21.   for (k = start; k <= end; k++)
22.       arr[k] = reg[k];
23.}
24.int main() {
25. cin >> n;
26. for (int i=0; i<n; ++i) cin >> arr[i];
27. sort(0, n-1);
28. for (int i=0; i<n; ++i) cout << arr[i] << " ";
29. return 0;
30.}

1.第7行的”>=”改为”>”不会影响程序运行结果(F)

有时候会正好=它,若将=删去有些样例会错

2.第9行改为”int mid=(start+end)/2;”不会影响程序运行结果。(T)

第9行代码:int len = end - start, mid = (len >> 1) + start;改完后其实就是省去一个变量len,不会影响程序运行结果

3.调换12行和13行代码不会影响程序的运行结果。()

第12行代码:sort(start1, end1);第13行代码:sort(start2, end2); 代码之间并没有联系,12行与13行间没有代码,所以可以调换

4.将16行”<”改为”>”与将28行”i=1;i<n;++i”改为”i=n-1;i>=0;--i”的效果是一些的。(T)

调换的效果是从从小到大改为从大到小,输出不变

5.上述代码用的是哪种排序思想?(归并排序)

理解代码

6.程序时间复杂度为(nlogn)。

根据第5题,归并排序时间复杂度为nlogn